Introducción
1. Capítulo 21 – Factores de reducción de resistencia
Tabla 1: Nuevos factores de resistencia ϕ relacionados con anclajes en el Capítulo 21 – Adaptado de la Tabla 21.1.1 ACI 318-25.

2. Capítulo 17 – Diseño de anclajes
Nuevo factor de modificación, ψₐ
Tabla 2: Factor de modificación de resistencia de anclaje (ψₐ). Fuente: Adaptado de Tabla 17.5.4.1 - ACI 318-25.

🔎 Notas:
- La Categoría 1 indica baja sensibilidad a la instalación y alta confiabilidad.
- La Categoría 2 indica sensibilidad media a la instalación y confiabilidad media.
- La Categoría 3 indica alta sensibilidad a la instalación y menor confiabilidad.
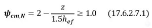
Incorporación de nuevos factores en el diseño por arrancamiento para anclajes en tracción (Ncb)

Figura 1. Factor de modificación por el efecto del campo de compresión en el arrancamiento.

Figura 4. Efecto del campo de compresión durante el desarrollo de resistencia por arrancamiento por tracción del anclaje. Adaptado de Figura 17.6.2.7.1 del ACI 318-25.

Figura 3. Nuevos factores incorporados en la resistencia al arrancamiento del concreto para anclajes en tracción (Ncb) - Art. 17.6.2.1 ACI 318-25.
Modificación en la ecuación de interacción tracción-cortante para anclajes
La expresión que evalúa la resistencia del concreto ante la interacción tracción-cortante en anclajes ha sido modificada significativamente en esta edición del código. Anteriormente, se utilizaba una única ecuación para evaluar dicha interacción de forma conjunta, sin distinguir entre anclajes individuales, grupos de anclajes, o si el modo de falla estaba controlado por la resistencia del perno de anclaje y no por el concreto.
En el ACI 318-25, estas distinciones ahora están claramente contempladas, lo que permite una evaluación más precisa del comportamiento estructural en función del tipo de anclaje y mecanismo de falla involucrado.
Cabe destacar que la expresión para la resistencia al cortante de los anclajes no ha sido modificada.

Figura 4. Comparativa entre ecuaciones y diagrama de interacción tracción-cortante caso anclaje individual. Fuente: Adaptado ACI 318-19 (Fig.R17.8) y ACI 318-25 (Fig.R17.8.1).
Extensión de los criterios para arrancamiento del concreto con barras de refuerzo como anclajes
La edición ACI 318-25 amplía significativamente los criterios asociados al estado límite de arrancamiento del concreto (Concrete Breakout) cuando se utilizan grupos de barras de refuerzo como elementos de anclaje.
Si bien esta condición ya era reconocida en la edición 2019 a través del Artículo 17.1.6, la nueva versión 2025 incorpora dos artículos adicionales (Art.17.1.8 y Art.17.1.9) que permiten aplicar un procedimiento alternativo de evaluación de la resistencia al arrancamiento. Se hace referencia a ecuaciones explícitas en la nueva Sección 25.4.11, con un nivel de seguridad equivalente al de las ecuaciones existentes en el Capítulo 25 para longitudes de desarrollo.
No obstante, el código aclara que la resistencia básica debe determinarse según lo indicado en el Capítulo 17, antes de aplicar dicho procedimiento complementario.
3. Capítulo 20 – Propiedades del acero de refuerzo, durabilidad y embebidos
Eliminación del acero ASTM A615 en sistemas sismorresistentes
El Capítulo 20 introduce varios ajustes de forma, como la eliminación de las tablas 20.2.1.3 (a), (b) y (c) que detallaban las especificaciones mínimas para los aceros ASTM A615 y A706.
No obstante, el cambio más relevante es la eliminación del uso del acero ASTM A615, en cualquiera de sus grados, como refuerzo en pórticos resistentes a momentos y muros de corte sismorresistentes.
Esta restricción queda claramente reflejada en la nueva tabla 20.2.2.4 (a) y en el Artículo 20.2.2.5, los cuales en la edición 2019 aún permitían el uso del A615 bajo ciertas condiciones de resistencia. En la edición 2025, en cambio, se reserva exclusivamente el uso del ASTM A706 para estos sistemas estructurales críticos.
Cabe destacar que el ASTM A615 es un tipo de acero típicamente usado en algunos países de Latinoamérica, por lo que este cambio representa un ajuste de gran importancia para la práctica local.
💡 Nota técnica:
El motivo detrás de esta decisión responde a la necesidad de garantizar un comportamiento dúctil y soldable en elementos sismorresistentes. El ASTM A706 es un acero diseñado específicamente para aplicaciones estructurales donde la ductilidad y la uniformidad de las propiedades mecánicas son fundamentales, mientras que el ASTM A615, más económico y ampliamente disponible, no siempre asegura los niveles de elongación ni la soldabilidad requeridos para zonas de alta demanda sísmica. Esta tendencia refleja el compromiso de los códigos actuales por priorizar la seguridad estructural bajo solicitaciones extremas.
Tabla 3: Comparativa técnica entre ASTM A615 y ASTM A706

Nuevo artículo 20.2.2.6: requisitos del refuerzo usado en anclajes sismorresistentes
Otra incorporación destacada en el Capítulo 20 es la creación del Artículo 20.2.2.6, el cual establece los requisitos de calidad del acero de refuerzo utilizado específicamente para anclajes en sistemas sismorresistentes. Al igual que en las disposiciones anteriores, este nuevo artículo excluye expresamente el uso del acero ASTM A615, reforzando así la preferencia normativa por el ASTM A706 en aplicaciones donde la ductilidad y el comportamiento sísmico controlado son fundamentales.
4. Capítulo 13 – Fundaciones
El Capítulo 13 introduce un cambio sustancial relacionado con la resistencia al cortante unidireccional en elementos de cimentación, incluyendo zapatas, losas de fundación y muros de contención.
Resistencia al cortante en fundaciones
El ACI 318-25 ahora permite utilizar directamente la capacidad del concreto expresada por 2λ√(fc' )bwd, sin requerir el cumplimiento integral de las verificaciones de la Sección 22.5, ni aplicar el factor de reducción λs para el cortante en dos direcciones.
En términos generales, esto representa un incremento en la capacidad a cortante de las secciones de concreto utilizadas en fundaciones superficiales y muros de contención o de fundación.
Es importante subrayar que esta simplificación solo es válida cuando la cimentación ha sido diseñada bajo la hipótesis de comportamiento rígido, según lo especifica el propio código.
Nueva sección sobre muros de sótano en el sistema de fundación
Actualización en dimensionamiento y refuerzo de pilas y cabezales
- Distancia mínima al borde: 100 mm
- Profundidad de embebido mínima: 75 mm

Figura 5: Distancias mínimas para detallado de pilotes en cabezales en ACI 318-25
5. Capítulo 25 – Detallado del acero de refuerzo
Este capítulo introduce cambios relevantes principalmente en lo que respecta a las longitudes de desarrollo del acero de refuerzo. Se incorporan dos nuevos artículos: el 25.4.2.6, que establece directrices para el uso de acero de refuerzo postinstalado, y el 25.4.2.7, el cual estipula el acero de refuerzo transversal de confinamiento para longitudes de desarrollo o empalmes por solape.
Revisión de la ecuación para la longitud de desarrollo de barras en tracción
La ecuación del Artículo 25.4.3.1, relativa a la longitud de desarrollo de barras en tracción con gancho estándar, ha sido reescrita en el ACI 318-25.
La pasada edición ACI 318-19 incrementaba de forma conservadora la longitud de desarrollo de las barras con gancho en comparación con el ACI 318-14 y ediciones anteriores. En la nueva edición, el ACI 318-25 ha refinado la ecuación 25.4.3.1 volviendo esencialmente a la misma expresión básica utilizada en el ACI 318-14, pero incorporando factores de modificación ajustados incluyendo un nuevo factor que considera el efecto del tamaño (ψs).
Tabla 4: Comparativa cálculo de longitud de desarrollo para ganchos estándar en tracción AC1 318 (2014 a 2025)


Figura 6: Requerimientos de la longitud de desarrollo de barras con ganchos estándar. Recubrimiento de concreto de acuerdo con el Art. 25.4.3.3 – ACI318-25.

Figura 7: Estribos o ligaduras colocadas paralelas a la barra que se está desarrollando, espaciadas a lo largo de la extensión de la longitud del gancho más la curva – ACI318-25.
Requisitos para anclajes con grupos de barras en tracción
Otro cambio importante dentro de este capítulo es la incorporación de la Sección 25.4.11, que establece los requisitos específicos de detallado para el anclaje de grupos de barras sometidas a tracción. Esta nueva sección está estrechamente vinculada con lo descrito anteriormente en el Capítulo 17. Los requisitos en esta sección son requerimientos específicos que deben cumplir las barras de refuerzo cuando son usadas como sistema de anclaje, y deben cumplir en términos de resistencia con lo indicado en el Capítulo 17. Además, el ACI 318-25 incluye una ilustración que facilita la comprensión y correcta aplicación de estos nuevos lineamientos.

Figura 8. Uso de refuerzo transversal por corte para incrementar la resistencia al arrancamiento de un grupo barras en tracción de una columna. Adaptado Sección 25.4.11 - ACI 318-25.
6. Otros cambios
Además de los cambios entre las distintas secciones y artículos de cada capítulo, existen un par de cambio adicionales bastante interesante. Esto tiene que ver con los apéndices del código.
Apéndice B: Diseño por viento basado en desempeño
En la edición 2019, el Apéndice B estaba dedicado a proporcionar tablas con las propiedades del acero de refuerzo, detallando el diámetro, el área y el peso nominal de las barras comerciales. En la nueva edición, este contenido ha sido trasladado al Apéndice D, liberando el Apéndice B para abordar un tema completamente diferente: el diseño por viento basado en desempeño. Este nuevo apéndice ofrece lineamientos específicos para el análisis y diseño de edificaciones sometidas a eventos extremos de viento, tomando en cuenta el desempeño estructural.
Apéndice C: Sostenibilidad y resiliencia
Otro cambio importante, es la creación del apéndice C, sostenibilidad y resiliencia. Este nuevo apartado introduce criterios orientados al diseño sostenible, con el objetivo de mitigar el impacto ambiental derivado de los procesos de fabricación del concreto y del acero de refuerzo, promoviendo así prácticas constructivas más responsables y alineadas con los desafíos actuales en materia de eficiencia y durabilidad.
7. Conclusiones
Los cambios analizados a lo largo de este artículo evidencian modificaciones significativas en el cuerpo normativo, que incluyen ajustes en articulados específicos e, incluso, en ciertos casos, variaciones en las condiciones de diseño. Estas actualizaciones son el resultado de años de investigación y evolución técnica, dirigidas a mejorar la precisión, seguridad y eficiencia de las estructuras de concreto reforzado.
💡 Si deseas profundizar en estos cambios y aprender a aplicarlos en tus proyectos, te invitamos a participar en nuestro Curso en Diseño Sismorresistente de Edificaciones en Concreto Armado ACI 318-25. Este programa está diseñado para brindarte los conocimientos teóricos y prácticos esenciales para el diseño estructural y sismorresistente de edificaciones en concreto armado, empleando el Código ACI 318-25 como referencia principal. Partiremos desde el análisis de la respuesta sísmica, abordaremos la filosofía de diseño y finalizaremos con recomendaciones constructivas que aseguren la calidad y desempeño de tus proyectos.
Referencias
• American Concrete Institute, Building Code for Structural Concrete – Code Requirements and Commentary, ACI CODE-318-25.
• American Concrete Institute, Building Code for Structural Concrete – Code Requirements and Commentary, ACI CODE-318-19.
• American Concrete Institute, Building Code for Structural Concrete – Code Requirements and Commentary, ACI CODE-318-14.
👉 Domina el ACI 318-25 y su impacto en el diseño sismorresistente.


