Información inicial requerida
Cargas actuantes
Tabla 1: Datos del terreno
Información | Dato |
|---|---|
Tipo de suelo: arena bien gradada | SW |
Peso unitario saturado (PU): | 19.5 kN/m³ |
Módulo de elasticidad (E): | 30 MPa |
Coeficiente de Poisson (µ): | 0.25 |
Ángulo de fricción interna (Φ): | 31º |
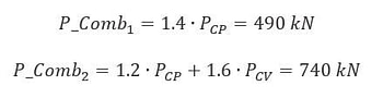
Las cargas esperadas de servicio son las siguientes:
Las dimensiones del pilote propuesto son:

Figura 1: Esquema del Pilote propuesto
El acero de refuerzo es grado 60 y la resistencia del concreto es de 25 MPa. Peso unitario asumido del concreto igual a 24 kN/m³.
Verificación de capacidad estructural a compresión
Antes de efectuar las verificaciones geotécnicas y estructurales del pilote, se recomienda verificar de forma general si la sección transversal del pilote podrá soportar la carga a compresión. Este paso sería como un proceso de predimensionado con el cual se propone el diámetro del pilote. A continuación se presenta la verificación de la capacidad estructural a compresión del pilote según ASD y LRFD.
Capacidad estructural a compresión según teoría de esfuerzos permisibles (ASD)
Primer criterio (R13.4.2. Criterio de diseño ACI318-19): Se permite diseñar un miembro de cimentación profunda utilizando las combinaciones de carga para diseño por esfuerzos permisibles de la sección 2.4 de SEI/ASCE 7, y la resistencia permisible especificada en la Tabla 13.4.2.1 siempre y cuando se cumpla con (a) y (b).
- (a) El miembro de cimentación profunda está soportado lateralmente en toda su longitud.
- (b) Las fuerzas aplicadas causan momentos flectores en el miembro de cimentación profunda menores que el momento debido a una excentricidad accidental de 5% del diámetro o el ancho del miembro.

Tabla 2: Máxima resistencia a la compresión permisible para miembros de cimentación profunda ACI 318-19
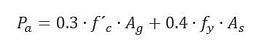
Para un pilote excavado de concreto construido en sitio y sin camisa metálica, la máxima resistencia a la compresión permisible es:

En esta primera fase de diseño se desprecia la contribución de resistencia dada por el acero de refuerzo longitudinal. Con esto nos queda:

Segundo criterio: Se considera un valor de resistencia de ∝ f´c = 3.5 MPa, dicho valor de capacidad nominal es especificado por ciertos códigos locales (por ej. pilotes barrenados sin control de parámetros. DB-SE-Cimientos. España). Con esto se estima una capacidad nominal igual a:

Finalmente se considera la resistencia estructural nominal a compresión en base al valor mínimo obtenido (2do criterio): Pa = 1725.28 kN
Combinaciones para teoría de esfuerzos permisibles (ASD) según ASCE7-16:

Para la carga axial de servicio se toma el máximo valor obtenido: Pserv = 550 kN

Capacidad estructural a compresión según LRFD
El diseño por resistencia de miembros de cimentaciones profundas debe realizarse utilizando los factores de reducción de resistencia para resistencia a la compresión de la Tabla 13.4.3.2 para carga axial sin momento (Art. 13.4.3.2. ACI318-19).

Tabla 3: Factores de reducción de resistencia por compresión para miembros de cimentación profunda ACI 318-19
Para un pilote excavado de concreto construido en sitio y sin camisa metálica, el factor de reducción de resistencia por compresión es ∅=0.55.


El máximo valor de carga actuante última a compresión es: Pu = 740 kN

Diseño geotécnico del pilote
Capacidad portante vertical
El cálculo de la capacidad última de un pilote depende de varios factores, tales como: el proceso constructivo (hincado o rotado), el tipo de suelo en el que se apoya (granular, cohesivo, mixto) y el nivel de desplazamiento desarrollado tanto en la punta como en el fuste. Conceptualmente, la capacidad última del pilote está compuesta por la resistencia que se desarrolla en la punta (Qp) y en la superficie (Qs). Esta última a su vez puede ser por fricción (Qf) y/o adherencia (Qadh) según la naturaleza del suelo que lo rodea.

Para cada una de estas resistencias, existen diferentes teorías de diseño desarrolladas por distintos autores. A continuación, se muestran algunas de las soluciones analíticas utilizadas en la práctica.

Tabla 4: Comparación de distintas soluciones analíticas para cálculo de capacidad portante vertical de pilotes
En nuestro “Curso en Diseño y Construcción de Cimentaciones Profundas”, se establecen los criterios que se deben seguir para seleccionar la teoría más adecuada según las características del proyecto. Se desarrollan ejemplos prácticos y comparativas entre los diferentes métodos, además se efectúan validaciones mediante softwares de cálculo.
Para el presente ejemplo utilizaremos el método de la Tensión Efectiva, definido por las siguientes expresiones:


Tabla 5: Rango de coeficientes Np y β (Fellenius, 1991). Fuente: GEO5 User Guide
Mediante la aplicación de tales expresiones obtenemos:

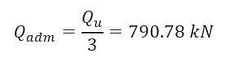
Considerando un factor de seguridad FS = 3 para definir la capacidad admisible:

Finalmente se verifica la condición de diseño:

Asentamientos esperados y Relación carga – asentamiento
El cálculo de asentamientos esperados se divide en 2 grandes grupos.
- Asentamientos elásticos o inmediatos: estimados a partir de métodos basados en la Teoría de Elasticidad.
- Asentamientos por consolidación: proceso característico de suelos cohesivos saturados.
Al tratarse de una arena, puede aplicarse el método basado en teoría de elasticidad. Esta expresión divide el asentamiento en 3 componentes: asentamiento elástico del pilote (Se1), asentamiento causado por la carga en la punta (Se2), y asentamiento causado por la carga desarrollada en el fuste (Se3), respectivamente.

Teniendo en cuenta los mecanismos de transferencia de carga del pilote al terreno, se conoce que el pilote al entrar en servicio primero desarrolla en mayor medida la resistencia por fricción para un determinado nivel de desplazamiento. Al alcanzar el máximo de su resistencia por fricción comienza a desarrollarse la resistencia a nivel de punta.
Para este caso, se calculará el comportamiento mediante un análisis de carga-desplazamiento del pilote. Una información importante que podemos extraer de la curva tensión-desplazamiento, es el porcentaje exacto de carga de servicio resistido por fricción y punta. El método de Poulos está basado en teoría de elasticidad y nos permite construir la curva mediante las siguientes expresiones:

Los coeficientes necesarios para obtener estos valores provienen de una serie de gráficas que dependen de la geometría del pilote, relación de rigideces pilote-suelo, y coeficiente de Poisson. En el “Curso en Diseño y Construcción de Cimentaciones Profundas” profundizamos en el estudio de esta curva y describimos paso a paso la selección de cada valor necesario para su construcción.
Los resultados para nuestro ejemplo serían:
Con esta información podemos construir la curva de carga total – asentamiento (curva azul en la siguiente imagen) y la curva carga en la punta – asentamiento (curva roja en la siguiente imagen):

Figura 2. Curva relación carga asentamiento para el pilote propuesto
Al entrar con el valor de la carga de servicio (550 kN), podemos encontrar el asentamiento y el valor de la capacidad por punta desarrollada asociados a este punto.
En nuestro “Curso en Diseño y Construcción de Cimentaciones Profundas” se aplican diferentes métodos para estimar el asentamiento de grupo de pilotes, tanto en suelos granulares, cohesivos y/o mixtos.
Diseño estructural de Pilotes según ACI 318-19
Refuerzo mínimo en pilotes excavados o de tornillo de concreto sin camisa metálica construidos en sitio (Art. 18.13.5.7.1 ACI318-19).
El criterio a utilizar será según lo establecido en la Tabla 18.13.5.7.1. Para este ejemplo se asumirá una clasificación de sitio (CDS) E y perfil de sitio D. Se considera un recubrimiento de 7.5 cm.

Tabla 6: Refuerzo mínimo en pilotes excavados o de tornillo de concreto sin camisa metálica construidos en sitio ACI 318-19
Acero de refuerzo longitudinal
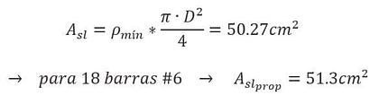
Para pilotes a compresión pura, el ACI 318-19 solo requiere satisfacer la cuantía de acero mínima igual a 0.5% del área del pilote. Sin embargo, para este ejemplo tomaremos cuantía mínima igual a 1% en función de lo indicado en R18.13.5.3 (ACI 318-19):

Al multiplicar por el área gruesa de la sección del pilote, obtenemos el área de acero requerida. Probando con barras #6, el resultado sería:

Con la finalidad de facilitar los procesos de vaciado, se debe garantizar que la separación libre mínima entre barras sea la mínima exigida por el código. En nuestro ejemplo, la separación libre entre las barras es:

Acero de refuerzo transversal
La cuantía de acero de refuerzo transversal mínima que se debe cumplir conforme al ACI 318-19 para la zona confinada se estima mediante la siguiente expresión:

Dicha zona de confinamiento se extiende por debajo del fondo del cabezal una distancia igual a:

En nuestro ejemplo, propondremos espirales con barras #4 separados cada 10 cm para la zona de confinamiento. Con esto, la cuantía de acero transversal proporcionada es:

Siguiendo los requerimientos de la Tabla 18.13.5.7.1 del ACI 318-19 para el caso CDS E y Clase de sitio D, en la zona no confinada, se indica que el espaciamiento no debe exceder a la menor de las siguientes condiciones:

Por lo tanto, el acero de refuerzo transversal del pilote fuera de la zona de confinamiento será mediante espirales con barras #4 separados cada 20 cm.
Con esto cumplimos los requisitos de diseño estructural del pilote a compresión.

Figura 3. Esquema de refuerzo longitudinal y transversal del Pilote
Comparativa de resultados manuales contra GEO5
Se ha modelado nuestro ejemplo en el software GEO5 con la finalidad de validar los resultados obtenidos mediante verificación manual.

Figura 4. Resultados Comparativa GEO5 - Capacidad Portante del Pilote

Figura 5. Resultados Comparativa GEO5 - Asentamiento del Pilote

Figura 6. Resultados Diseño Estructural del Pilote en GEO5
Conclusiones
El diseño geotécnico y estructural integrado de pilotes forma parte del contenido de nuestro “Curso en Diseño y Construcción de Cimentaciones Profundas”, donde se discuten y comparan los resultados obtenidos mediante la aplicación de diferentes teorías de diseño, se desarrollan una cantidad importante ejemplos de cálculo para diferentes escenarios y se validan los resultados contra softwares de cálculo como el GEO5 (Fine Software), que ha servido de herramienta de validación en el presente artículo.
Referencias
• Meyerhof, G.G. (1976). “Bearing Capacity and Settlement of Pile Foundations”, Journal of the Geotechnical Engineering Division, American Society of Civil Engineers, vol. 102, núm. GT3.
• Vesic, A.S. (1963). “Bearing Capacity of Deep Foundations in Sand”, Highway Research Record No. 39, National Academy of Sciences, Washington, DC.
• Berezantzev, V.G., Khristoforov, V.S. y Golubkov, V.N. (1961). “Load Bearing Capacity and Deformation of Piled Foundations”, Proceedings Fifth International Conference on Soil Mechanics and Foundation Engineering, París, vol. 2.
• Tomlinson M.J. (2001), "Foundation Design and Construction". 7th Edition. Pearson Education Ltd. England.
• Tomlinson M.J. (1994), "Pile Design and Construction Practice". 4th Edition. E & FN SPON. England.
• NAVFAC DM-7 (1982), "Design Manual Soil Mechanics, Foundations and Earth Structures", Department of the Navy, Naval Facilities Engineering Command, U.S. Navy.
• Fellenius, B.H.: Foundation Engineering Handbook, Editor H.S. Fang, Van Nostrand Reinhold Publisher, New York, 1991.
• O’Neill, M. W. and Reese, L. C., Drilled shafts: Construction procedures and design methods. FHWAIF-99-025. Washington, DC, USA. Federal Highway Administration, 1999.
• Coyle, H.M. y Castello, R.R. (1981). “New Design Correlations for Piles in Sand”, Journal of the
Geotechnical Engineering Division, American Society of Civil Engineers, vol. 107, núm. GT7.
• Poulos, H. G. et. Davis, E. H.: Pile Foundations Analysis and Design. New York: John Wiley and Sons, 1980, chapters 5.3 and 5.4.
• American Concrete Institute (2019). ACI Standard Building Code Requirements for Reinforced Concrete. ACI 318-19.
• American Concrete Institute (2012). ACI Guide to Design, Manufacture, and Installation of Concrete Piles. ACI 543-12.
• Braja M. Das, Fundamentos de ingeniería de cimentaciones. 7ma edición. 2012.
Autor: Ing. Carlos Bastardo
Ingeniero Civil egresado de la Universidad de Carabobo (UC). Ingeniero de proyectos en el área de Geotecnia, Cimentaciones y Estructuras. Certificado como GEO5 Modeler.
Autor: Ing. Diane Estava
Ingeniero Civil egresada de la Universidad de Carabobo (UC). Ingeniero de proyectos en el área de Geotecnia, Cimentaciones y Estructuras. Máster en Diseño y Construcción de Puentes. Certificada como GEO5 Modeler.
Durante el curso el participante podrá abordar de forma detallada los conceptos y procedimientos asociados al diseño geotécnico y estructural de pilotes hincados, pilotes excavados vaciados en sitio, pilotes helicoidales, y micropilotes, sometidos a acciones gravitacionales, sísmicas y de viento.
