Introducción
Descripción del Ensayo SPT

Figura 1. Diferentes equipos para la ejecución del ensayo SPT.
Factores que afectan los resultados del ensayo SPT
Uno de los aspectos importantes a destacar sobre este ensayo, es que es usual registrar ciertas variaciones en el número de golpes N a una profundidad dada en perfiles de suelos similares. Esto ocurre debido a la influencia de numerosos factores, entre los que se encuentran la eficiencia del martillo, el diámetro de la perforación, el método de muestreo y la longitud de la barra (Coduto, 2001).
De estos factores, sin duda el de mayor relevancia para la estimación de asentamientos a partir de la data obtenida de ensayos SPT es la eficiencia del martillo, dado que la misma está directamente relacionada con la energía transmitida al terreno durante el proceso de hincado del muestreador y, por ende, con la resistencia registrada.
De acuerdo a mediciones de energía realizadas durante el ensayo, típicamente la relación de energía transmitida a las barras (ERr) es del orden de 50% a 60% del valor teórico máximo de 475 J, aun cuando en la práctica este valor puede variar de 30% a 90%, dependiendo del perforador y el equipo que se emplee para realizar el ensayo SPT (Kulhawy & Mayne, 1990).
Corrección del número de golpes (N) en el Ensayo SPT
Para considerar la energía transmitida al terreno durante el proceso de hincado del muestreador, se realiza una corrección en el valor de N en base al factor CE.
Según Amundaray (2006), se recomienda considerar CE = 0,75 (ERr = 45%) para condiciones de poco control en campo y CE = 1,0 (ERr = 60%) cuando se empleen equipos de buena calidad y procedimientos controlados de muestreo, para perforadoras equipadas con martillos Donut. Seed et al (2003), recomiendan considerar CE = 1,33 (ERr = 80%) para equipos modernos con martillos automáticos.
Metodologías para estimar asentamientos a partir del Ensayo SPT
A lo largo de los años, se han desarrollado numerosas metodologías para estimar asentamientos empleando el SPT. En este artículo se reseñarán algunas de las más comúnmente utilizadas en estudios geotécnicos rutinarios.
Terzagui & Peck (1948) propusieron una de las primeras correlaciones para estimar la capacidad portante de una fundación superficial para un asentamiento de 25 mm, la cual estaba basada en el valor de N. Sin embargo, tal como lo aclararon los mismos autores, los resultados que arrojaba resultaban excesivamente conservadores.
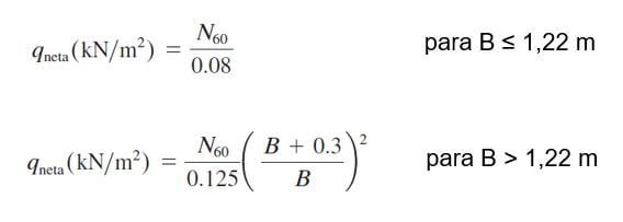
Posteriormente, Meyerhof (1956) propuso las siguientes expresiones para estimar la carga neta a aplicar para un asentamiento de 25 mm:

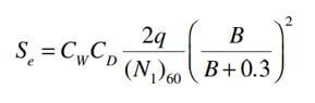
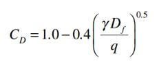
Influencia del nivel freático y profundidad de empotramiento




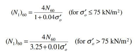
Como pueden observar, este método considera el confinamiento efectivo y el valor de N corregido en base a dicho confinamiento y a la energía de perforación, lo cual incluye un factor de corrección adicional en el SPT, muy importante para el caso de suelos granulares.
Factor de Profundidad
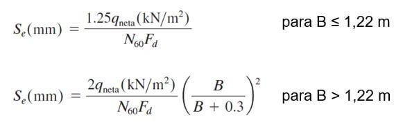
Finalmente, vale la pena destacar el ajuste realizado por Bowles (1977) a las expresiones propuestas por Meyerhof, considerando un factor de profundidad y estableciendo la profundidad de influencia hasta la cual deben considerarse los valores registrados durante el ensayo SPT.

Donde, B = ancho de la fundación (m), y Fd es un factor de profundidad = 1 + 0,33 (Df / B). El valor de N60 debe obtenerse hasta una profundidad igual a 2B por debajo de la cota de asiento.
Aunque, en general, algo conservadores, los métodos brevemente descritos en este apartado pueden emplearse para efectuar estimaciones de asentamientos para estructuras apoyadas sobre suelos granulares, con poca presencia de materiales finos plásticos, particularmente en estudios geotécnicos rutinarios.
Profundidad de influencia a considerar
Un aspecto muy importante a tomar en cuenta para aplicar estos métodos es la profundidad de influencia de la fundación, dado que dicha profundidad está directamente ligada a los valores de N a emplear en las estimaciones de asentamientos. Excepto en el caso del ajuste realizado por Bowles al procedimiento propuesto originalmente por Meyerhof, los demás métodos aquí reseñados no establecen un criterio claro sobre este punto tan importante.

Figura 2. Profundidad de influencia debajo de fundaciones.
En general, la profundidad de influencia para la estimación de asentamientos puede considerarse teóricamente igual a 2B debajo de la cota de asiento para zapatas aisladas, y 4B para zapatas corridas y losas, siendo B el ancho de la fundación. Por lo tanto, para la expresión propuesta por Peck & Bazaraa, debe considerarse el promedio de los valores de N60 – o (N1)60 - entre la cota de desplante y una profundidad igual a 2B o 4B (según aplique) por debajo de dicha cota
¿Cuándo la profundidad de influencia no será igual a 4B? Pues cuando, debido a particularidades del terreno estudiado, se observe un incremento significativo de los valores de N en la zona de influencia teórica. Esto sería evidencia de la presencia de un estrato de considerable rigidez, situado por debajo de un estrato menos rígido, susceptible a sufrir deformaciones. Si este fuera el caso, deben tomarse en cuenta los valores de N del estrato menos rígido situado inmediatamente por debajo de la cota de asiento de la fundación, a fin de obtener resultados más realistas.
Conclusiones
Finalmente, es muy importante destacar la necesidad de efectuar el ensayo SPT de acuerdo a lo establecido en la normativa arriba mencionada, empleando equipos y herramientas en perfecto estado, con personal capacitado para realizar el ensayo, y bajo la supervisión de un ingeniero o técnico de campo.
Referencias
• American Concrete Institute (2019). ACI Standard Building Code Requirements for Reinforced Concrete. ACI 318-19, Farmington Hills, MI
• Amundaray, J. (2006) “Suelos Potencialmente Licuables y Medidas de Remediación”. Capítulo VIII Ingeniería Forense y Estudios de Sitio. Editado por J. Grases. Caracas, Venezuela.
• Coduto, D. (2001) “Foundation Design: Principles and Practices”. Second Edition. Prentice Hall. New Jersey, USA.
• Das, B. (2009) “Shallow Foundations – Bearing Capacity and Settlement”. CRC Press – Taylor & Francis Group. Boca Raton, Florida, USA.
• Das, B. (2012) “Fundamentos de Ingeniería de Cimentaciones”. Séptima Edición. Cengage Learning Editores, S.A. México D.F., México.
• Kulhawy, F. & Mayne, P. (1990) “Manual on Estimating Soil Properties for Foundation Design”. Prepared by Cornell University for Electric Power Research Institute. New York, USA.
• Seed, R., Riemer, M., Cetin, K., Sancio, R., Moss, R., Bray, J., Kammerer, A., Kayen, R., Wu, J., Faris, A., Pestana, J. (2003) “Recent Advances in Soil Liquefaction Engineering: A Unified and Consistent Framework”. Earthquake Engineering Research Center, College of Engineering, University of California. Berkeley, USA.
• Simons, N. & Menziez, B. (1999) “A Short Course in Foundation Engineering”. Second Edition. Thomas Telford Publishing. London, UK.
El Diplomado está enfocado en la resolución de problemas geotécnicos y estructurales asociados al diseño y/o ejecución de cimentaciones superficiales y profundas, así como, el manejo de las teorías de Mecánica de Suelos y Geotecnia necesarias para atender problemas de construcción de infraestructura para edificaciones y puentes.
