Filosofía de Diseño Geotécnico según el Eurocódigo 7
Teoría de los Estados Límite
- Estado Límite Último (ELU): Evalúa la seguridad ante un estado de colapso de la estructura.
- Estado Límite de Servicio (ELS): Controla deformaciones y asentamientos para garantizar la funcionalidad de la estructura.
Coeficientes Parciales según Eurocódigo 7
- A = conjunto de coeficientes parciales γF aplicables a las acciones;
- M = conjunto de coeficientes parciales γM aplicables a los parámetros del terreno;
- R = conjunto de coeficientes parciales γR aplicables a la resistencia.
Situaciones de proyecto según Eurocódigo 7
El EC-7 define a las situaciones de proyecto como el conjunto de condiciones físicas que representan las circunstancias reales que pueden presentarse en un proyecto dado. Estas situaciones se diferencian de la siguiente manera:
- Situaciones persistentes, asociadas a condiciones de uso normal de la estructura.
- Situaciones transitorias, que representan condiciones temporales (construcción / reparación) de la estructura.
- Situaciones accidentales, que engloban condiciones excepcionales (impacto, falla o avería).
- Situaciones sísmicas, relacionadas a la acción de un evento sísmico sobre la estructura.
Para estas situaciones debe verificarse que no se superen los estados límites pertinentes.
Acciones según Eurocódigo 7
De acuerdo con el EC-7, las acciones se clasifican en:
- Permanentes (Gk): Peso propio de la estructura y el suelo.
- Variables (Qk): Cargas de uso, nieve, viento.
- Accidentales (Ak): Sismos, Explosiones.
En este punto, es importante destacar que dichas acciones poseen un valor característico que se emplea en diseño, el cual viene dado por un valor medio, nominal, o probable de determinada acción.
Verificación de Cimentaciones (ELU y ELS)
Desde el punto de vista geotécnico, los estados límite que se deben verificar en una cimentación superficial son los siguientes:
- Estabilidad global (ELU-GEO), según apartado 6.5.1 de UNE-EN-1997-1.
- Resistencia al hundimiento (ELU-GEO), según apartado 6.5.2 de UNE-EN-1997-1. Este término equivalente a capacidad portante.
- Resistencia al deslizamiento (ELU-GEO), según apartado 6.5.3 de UNE-EN-1997-1.
- Asientos (ELS para la cimentación) según apartado 6.6.2 de UNE-EN-1997-1.
Adicionalmente, debe verificarse la excentricidad de la carga (con las combinaciones de acciones correspondientes a ELU), según lo establecido en el apartado 6.5.4 del código.
Un dato curioso es que el código Eurocódigo 7 no menciona la necesidad de verificar el comportamiento del cimiento frente al vuelco, excepto cuando se trate de fundaciones de muros de contención, más susceptibles a este tipo de falla, tal como se indica en su Capítulo 9.
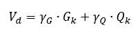
La verificación de acuerdo con esta normativa para Estado Límite Último (ELU) implica que debe cumplirse y/o verificarse la siguiente desigualdad:
Vd ≤ Rd
Siendo:
- Vd = Fuerza vertical transmitida al terreno, obtenida teniendo en cuenta la combinación de acciones relevante en la situación de proyecto considerada;
- Rd = Resistencia al hundimiento del terreno calculada mediante formulaciones analíticas o procedimientos semiempíricos.
Por otro lado, para el Estado Límite de Servicio (ELS), debe verificarse que el valor de cálculo de los efectos de las acciones (asientos, giros, etc.) debe ser menor que el valor límite aceptable para ese efecto, de tal manera que se cumpla:
Ed ≤ Cd
Siendo:
- Ed = Deformación estimada
- Cd = Valor límite para el cual se estima que la estructura soportada por la cimentación puede alcanzar un ELS, lo que significa que se suele fijar por consideraciones estructurales.
Verificación según Enfoque de Proyecto
Para efectuar toda verificación de acuerdo al Eurocódigo 7, debe definirse un enfoque de proyecto, el cual depende de la forma en que se calculan los efectos de las acciones y las resistencias. La Tabla 1 resume los coeficientes parciales a considerar según cada enfoque de proyecto.
Tabla 1: Resumen de coeficientes parciales según enfoque de proyecto (UNE-EN 1997-1).

La potestad de elección del enfoque de proyecto para el cálculo de una cimentación corresponde a los Anejos Nacionales, y la decisión adoptada en España a este respecto es el empleo del enfoque de proyecto 2 (DA-2), salvo en el ELU de estabilidad global, para el que se ha optado por el DA-3.
Por otro lado, en relación con los estados límite de servicio (ELS), la determinación de los efectos de las acciones Ed puede efectuarse utilizando tanto modelos de cálculo analíticos como semiempíricos, con las acciones que actúan sobre la cimentación en la situación de proyecto evaluada. En general, la combinación de acciones a considerar para las verificaciones geotécnicas en ELS suele ser la combinación casi‑permanente.
Métodos de proyecto en cimentaciones superficiales
De acuerdo con el apartado 6.4(5) de UNE-EN-1997-1, la verificación de los estados límite para las cimentaciones superficiales debe efectuarse siguiendo alguno de los métodos indicados a continuación:
- Método directo, en el cual se verifica de manera independiente cada estado límite, a través de métodos analíticos o semiempíricos. En primer lugar, se verifican los ELU y, posteriormente, los ELS de asientos y, si procede, de otros movimientos de la cimentación (levantamiento, socavación).
- Método indirecto, el cual está basado en una experiencia comparable referida a cargas de servicio, en el cual se consideran ensayos de campo y laboratorio, y se considera automáticamente satisfecha la verificación de asientos y los ELU.
- Método prescriptivo, en el cual se consideran reglas de proyecto conservadoras y avaladas por la práctica (típicamente a través del método observacional) y que incluyen un estricto control de ejecución.
Ejemplo de Aplicación: Cimentación Superficial Corrida
A continuación, se presenta un ejemplo de diseño de una cimentación superficial corrida perteneciente a una edificación según el Anejo español del Eurocódigo 7.
La Figura 1 muestra un esquema del edificio considerado donde se señala la fila de columnas que soportará la cimentación corrida analizada.

Figura 2: Arreglo de vigas y columnas del edificio.
Datos del Proyecto
El ejemplo considera una cimentación corrida de lado B = 2 m y L = 21.4 m, empotrada a 1.5 m medidos desde la superficie del terreno. Dado que la zapata corrida estudiada forma parte del sistema de soporte de un edificio aporticado de hormigón armado, el asentamiento máximo admisible se asume igual a 25 mm. La Figura 1 muestra un esquema del edificio considerado.
Situación de diseño:
- Persistente (condiciones normales de uso de la estructura).
Solicitaciones de diseño:
- Del análisis estructural, los valores característicos de las cargas permanente (Gk) y variable (Qk) para las columnas correspondientes a la línea de carga más desfavorable se resumen en la Tabla 2.
Tabla 2: Acciones verticales en cada columna apoyada en la cimentación corrida.
Columna | Gk (kN) | Qk (kN) |
C-1 | 460 | 110 |
C-2 | 690 | 220 |
C-3 | 630 | 155 |
C-4 | 625 | 150 |
C-5 | 685 | 220 |
C-6 | 415 | 110 |
Dado que en este ejemplo no se considera el efecto sísmico, las fuerzas de corte y de momento se consideran despreciables. Ello implica que no es necesaria la verificación por deslizamiento del cimiento.
Enfoque de diseño DA-2 (España)
De acuerdo con el enfoque DA-2 adoptado en España, se considerarán los coeficientes parciales mostrados en la Tabla 1 del presente artículo.
Para las acciones de diseño se tomarán en cuenta los valores de cálculo establecidos en la Tabla A.1.2(B) del Anexo Nacional de la norma UNE-EN 1990 para acciones permanentes desfavorables. (Ver Tabla 3).
Tabla 3: Tabla A.1.2(B) del Anexo Nacional de la norma UNE-EN 1990 para acciones permanentes desfavorables.

Así, resulta:
Siendo γG = 1.35 y γQ = 1.50, considerando los valores de las cargas reportados en la Tabla 1, resulta Vd = 6.179 kN.
Perfil del terreno
Para este ejemplo se considerará que el terreno está constituido por un estrato uniforme de arena, en el cual no fue detectado el nivel freático. Los parámetros de diseño fueron obtenidos a partir de información de campo (básicamente el ensayo SPT) y laboratorio (ensayos de granulometría, eMAX, eMIN).
La Figura 2 ilustra la variación del peso unitario total, del ángulo efectivo de fricción interna, y del módulo de deformación con la profundidad. Dichas gráficas incluyen también los valores de estos parámetros considerados para diseño.

Figura 2: Parámetros geomecánicos de diseño (FGL = nivel del terreno).
La topografía del terreno es completamente plana, por lo que no resulta necesaria la verificación de la estabilidad global del sistema suelo-cimiento.
Verificación ELU: resistencia al hundimiento de la cimentación
Como se mencionó anteriormente, consideraremos el Método directo para la verificación de los ELU y, dentro de este enfoque, la formulación polinómica para la resistencia al hundimiento, por ser uno de los métodos más ampliamente utilizado en proyectos geotécnicos rutinarios.
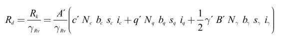
La formulación polinómica responde al cálculo analítico del equilibrio para una rotura a lo largo de una superficie cuya geometría está definida por la teoría de la plasticidad. El anejo D de UNE-EN 1997-1 presenta una formulación polinómica basada, entre otros, en los trabajos de Vesic. El valor de cálculo de la resistencia al hundimiento del terreno Rd se formula, de acuerdo con dicho anejo, de la siguiente manera:

Siendo:
- Rd = resistencia al hundimiento;
- Rk = valor característico de la resistencia al hundimiento;
- γRv = coeficiente parcial para la resistencia al hundimiento;
- A´ = área efectiva de la cimentación. Dado que no existe excentricidad resulta A´= A = B x L, considerando las dimensiones mostradas en la Figura 1;
- c´ = cohesión efectiva;
- q´ = peso de tierra por encima del plano de la cimentación;
- B´ = ancho efectivo del cimiento;
- Nc, Nq, Nγ = factores de capacidad de carga;
- b, s, i = factores adimensionales que consideran los efectos parciales que intervienen en el hundimiento.
Considerando las características del terreno estudiado, la estimación de la resistencia al hundimiento se llevará a cabo considerando φ´ = 35° y γ = 16.5 kN/m3. De acuerdo con ello, el primer término de la expresión anterior es nulo, mientras que los factores Nq y Ny se obtienen en base a las gráficas incluidas en la Figura 3, y los factores b, s, i se estiman a partir de las fórmulas mostradas en la Tabla 4.

Figura 3: Factores de capacidad de carga para cimentación corrida (φ´ = 35°).
Tabla 4: Coeficientes adimensionales para cimentaciones superficiales (Fuente: Anejo D documento UNE-EN-1997-1).

En la tabla anterior, α = inclinación del plano del cimiento (nulo en nuestro ejemplo); Hd = carga lateral actuante en la cimentación (nula en nuestro ejemplo), mientras que L´ = longitud efectiva del cimiento.
El coeficiente γRv, por su parte, se considera en base a la Tabla A5 del mencionado Anejo D. Dicha Tabla se reproduce a continuación:
Tabla 5: Coeficientes parciales γR según Anejo D

De acuerdo con lo anterior, resulta Rd = 27.920 kN, valor considerablemente superior a Vd = 6.179 kN arriba obtenido.
Por lo tanto, en base a los análisis realizados sobre el ELU de resistencia al hundimiento, se verifica que Vd < Rd. Asimismo, los estados límite correspondientes al deslizamiento y la estabilidad global también se cumplen, de acuerdo con las condiciones del terreno y solicitaciones de servicio arriba descritas.
Verificación ELS: estimación de asientos para la cimentación
Dado que en el ejemplo analizado en este artículo predominan solicitaciones verticales a compresión, el ELS deberá verificarse por asentamientos. Así, se tiene:
sEd ≤ sCd
Siendo:
- sEd = valor de cálculo del asiento estimado para la cimentación;
- sCd = valor límite del asiento, considerado igual a 25 mm para la estructura analizada en este ejemplo.
En relación con las solicitaciones a considerar para la estimación de sEd, dado que la comprobación de asientos es un ELS, los coeficientes parciales a utilizar serán iguales a la unidad (apartado 2.4.8(2) de UNE‑EN 1997‑1). Cabe destacar que UNE‑EN 1990 señala en A2.2.1(15) que los asientos en edificaciones están causados fundamentalmente por las cargas permanentes, incluidos los rellenos. Por tanto, la combinación de acciones a considerar en el cálculo será, en general, la permanente (sin considerar las cargas variables).
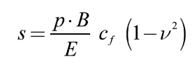
Dado que el terreno sobre el que se construirá la edificación considerada en este artículo es granular, no se espera que se produzcan asentamientos a largo plazo. Por lo tanto, el asentamiento puede estimarse considerando el siguiente modelo elástico (Das, 2012):

Siendo
- s = asentamiento a corto plazo del cimiento;
- p = presión transmitida por el cimiento al terreno;
- B = ancho de la cimentación;
- E = módulo de deformación medio del terreno;
- cf = coeficiente dependiente de la forma y la rigidez de la zapata (Ver Tabla 6);
- ν = relación de Poisson.
Tabla 6: Valores del coeficiente cf..

De esta manera, considerando una presión de contacto p = Gk/A´ = 82 kPa, un módulo de elasticidad del terreno igual a 40.000 kPa (ver Figura 2), cf = 2.58 (cimiento flexible), y una relación de Poisson de ν = 0.35, representativa de arenas, según Das (2012), el asentamiento a corto plazo estimado es sEd = 9 mm.
Como el límite de asentamiento permitido es 25 mm, la cimentación cumple con el ELS sEd < sCd.
Conclusiones
La filosofía de diseño geotécnico propuesta en el Eurocódigo 7 (UNE-EN 1997-1) concilia la metodología de diseño típicamente aplicada en cálculo estructural con los análisis geotécnicos, mediante la incorporación de coeficientes parciales en el diseño geotécnico.
Si deseas profundizar en el diseño geotécnico y estructural de cimentaciones superficiales, nuestro Diplomado en Diseño Geotécnico y Estructural de Cimentaciones para Edificaciones y Puentes ofrece un enfoque integral y equilibrado aplicando Métodos de verificación según ASD, LSD, LRFD y Eurocódigo. En el Módulo 2, abordamos desde el diseño por resistencia hasta casos especiales, asentamientos, coeficiente de balasto e influencia sísmica a través de ejemplos prácticos de cálculo manual, comparando resultados con herramientas especializadas como GEO5, SAFE, PLAXIS y LPILE, asegurando una comprensión sólida y práctica.
Referencias
• Eurocode 7: Geotechnical design – Part 1: General rules. Document UNE-EN 1997-1-2004. Technical Committee CEN/TC250.
• Das, B. (2012) Fundamentos de Ingeniería de Cimentaciones. Séptima Edición. Cengage Learning Editores, S.A. de C.V. México, D.F., México.
• Guía para el proyecto de cimentaciones en obras de carretera con Eurocódigo 7: Bases del proyecto geotécnico. Ministerio de Fomento (España). Disponible en https://cpage.mpr.gob.es
El Diplomado está enfocado en la resolución de problemas geotécnicos y estructurales asociados al diseño y/o ejecución de cimentaciones superficiales y profundas, así como, el manejo de las teorías de Mecánica de Suelos y Geotecnia necesarias para atender problemas de construcción de infraestructura para edificaciones y puentes.



